摘要:先天性肾上腺增生(CAH)儿童的最终成年身高通常受到损害。本文检验了对21-羟化酶缺乏的CAH病人以GH和LHRH类似物(LHRHa)治疗对最终成年身高的影响。预测身高低于父母靶身高1.0 SDS 以上的14名CAH病人(8男,6女)在达到最终身高前接受GH和LHRHa治疗。在开始治疗时对每名病人设一名CAH类型、性别和生活年龄相匹配的仅以糖皮质激素治疗的CAH对照病人。在开始治疗时,两组病人的平均年龄、骨龄、身高、身高预测和靶身高相同。平均GH治疗时间为4.4±1.5年,平均LHRHa治疗时间4.2±2.0年。治疗组最终身高SDS为-0.4±0.8,显著大于治疗开始时预测的-1.5±0.9(P < 0.0001)和未治疗组的-1.4±1.1(P = 0.01)。我们的结果说明GH与LHRHa联合治疗改善了CAH病人的最终成年身高。
J Clin Endocrinol Metab, 2005, 90(6): 3318-3325.
缩写词:
BA, Bone age 骨龄;
CA, chronological age 生活年龄;
CAH, congenital adrenal hyperplasia 先天性肾上腺增生;
LHRHa, LHRH analog LHRH类似物;
NS, not significant 无显著性;
21-OHD, 21-hydroxylase deficiency 21-羟化酶缺乏;
17-OHP, 17-hydroxyprogesterone 17-羟孕酮;
SDS, SD score SD分值.
前言
在最常见的21-羟化酶缺乏形式的先天性肾上腺增生病人,最终成年身高通常受到显著影响。由于无需21-羟化酶合成的雄性激素过多,受累儿童通常在儿童期线性生长加速,伴随以骨骺过早融合,最终导致成年身高低于父母靶身高。
甚至在以糖皮质激素适当替代治疗时,成年矮身高也是CAH的突出并发症。以前的研究已经证实CAH病人达到的成年身高普遍低于靶身高,激素控制的程度与矮身高的程度不直接相关。我们研究组和其它研究的数据提示,CAH病人约比父母靶身高低10cm 。Yu和 Grant发现,在儿童期CAH治疗妇女的平均成年身高SDS比由父母身高所预期的身高低1.2 SDS。
CAH病人未能达到适宜成年身高的原因有多种。首先,高水平的肾上腺雄性激素引起身体迅速生长,并伴随以骨骺的过早融合,最终导致矮身高。第二,由于雄性激素激活下丘脑-垂体-性腺轴,CAH病人常常出现中枢性性早熟,进而加剧骨骺过早融合。最后,糖皮质激素治疗CAH可能抑制了生长,降低最终身高。不幸的是,必要的糖皮质激素治疗还不能在不产生医源性皮质醇增多症的状况下得到满意的肾上腺抑制。而且甚至以替代剂量的长期糖皮质激素处理也会引起生长不良。糖皮质激素有多种生长抑制效应,干扰内源性GH分泌和IGF-I活性,以及正常生长所需的骨生成和胶原生成过程。
为预防成年矮身高并发症,有希望的治疗方法应当针对于解决上述问题。很长时间以来,CAH的治疗重点是糖皮质激素替代,而且在理论上刺激肾上腺雄性激素的ACTH的抑制应当改善身高预后。但是,如上所述,甚至激素被适当控制的病人也常常达不到靶身高。LHRH类似物(LHRHa)处理可有效地抑制中枢性性早熟。但LHRHa治疗通常伴随以生长的减速,单独使用最终身高可能不会有显著改善。GH可对抗糖皮质激素和LHRHa的生长抑制作用,因而可能改善最终身高。在中枢性性早熟儿童,已经证明GH和LHRHa联合治疗有效地改善了身高预测和最终身高。此外,Allen et al.证实GH治疗能够逆转糖皮质激素的生长抑制作用,其生长速度是长期糖皮质激素治疗儿童的2倍。
我们研究组以前曾报告,联合或未联合LHRHa的GH治疗2年后显著改善了CAH儿童的生长速度和预测成年身高。本研究报告GH结合LHRHa治疗对CAH病人最终成年身高的效果。
受试者和方法
受试者
本研究为非随机化研究。所有适合本研究的病人自愿参加。治疗组由14名因21-OHD的CAH病人组成,21-OHD由临床、激素和DNA证据证明。包括的标准为骨龄(BA)大于6岁,BA大于生活年龄(CA)1.0 SDS。使用Bayley-Pinneau方法预测的成年身高至少低于靶身高1.0 SDS。排除标准为,BA男大于14岁、女大于13岁,在以除皮质醇外的其它已知影响生长疾病药物治疗,或对CAH治疗药物不顺从。
选择无GH或LHRHa治疗史的CAH病人和不愿进入研究组的CAH病人组成比较组,所有这些病人由同一名病人追踪。使用计算机数据库,寻找尽可能地与每名治疗受试者在性别、CAH类型和CA相一致的配对病人。如果有一名以上相匹配的受试者,选择BA和靶身高最相似的。比较组由14名21-OHD并身高预测与治疗组相似但未接受GH或LHRHa的病人组成。其中的11名为历史病人,3名为拒绝治疗的当前病人。未治疗组所有受试者和治疗组一样在相同医生的治疗管理之下,接受相同的糖皮质激素治疗方案。
研究设计
该研究得到管理委员会批准,由受试者和其父母或监护人得到知情同意书。在进入研究时和每3个月时,测量受试者身高、体重、评价青春期发育等级和肾上腺激素。使用Harpenden测距仪测量三次身高,取平均数,记录精度0.1cm。根据Tanner方法计算靶身高,使用Greulich-Pyle方法每年评价一次BA。使用骨龄和身高,以Bayley-Pinneau方法预测成年身高,身高损失以预测成年身高减靶身高计算,最终成年身高损失以最终成年身高减靶身高计算。身高的增加定义为最终身高减基线预测身高。
对于治疗组,在基线时使用2小时静脉注射LHRH刺激试验的激素水平估价青春期发育状态。中枢性青春期定义为LHRH刺激后峰值LH/FSH比例大于1。如果在基线时证实受试者为中枢性青春期,开始以LHRHa治疗;如果在基线时受试者为青春期前,那么每年重复一次或在开始出现临床青春期征兆时进行LHRH刺激试验。治疗组所有受试者一旦证实中枢性青春期则开始LHRHa治疗。未治疗组不进行中枢性青春期试验,因为并不以LHRHa治疗。以男性睾丸体积≥4ml和女性乳房开始发育(Tanner等级II)估价青春期发身开始年龄。
治疗组所有受试者接受0.3 mg/kg·wk剂量(分为7次皮下注射)的重组人GH,GH治疗持续到达到最终身高时,最终身高确定为6个月期间的生长速度小于1.5cm/yr和BA女15岁、男17岁。所有青春期病人增加LHRHa治疗(醋酸亮丙瑞林),每28天肌肉注射300ug/kg剂量,当身高损失消失时停止治疗,即预测的成年身高等于或超过靶身高。如果身高损失始终不能恢复,那么在6个月期间生长速度下降到3cm/yr以下,BA在女13岁、男14岁以上时停止LHRHa治疗,治疗组病人每年一次采血样,测量IGF-I、IGFBP-3、甲状腺功能和血红蛋白A1c。
两组受试者都接受糖皮质激素治疗,必要时调整剂量以保持对肾上腺类固醇的适当抑制(目标,17-羟孕酮,17-OHP水平 < 1000 ng/dl),另外以失盐危象史(salt-wasting crisis)或不可检测醛固酮水平来确定,对所有失盐CAH病人以氟氢可的松(fludrocortisone,每天0.1–0.15 mg)进行盐皮质激素替代治疗。肾上腺控制良好的定义为75%以上的17-OHP水平<1000ng/dl;较好控制为25–75%的17-OHP水平<1000ng/dl;较差控制为不足25%的17-OHP水平<1000ng/dl。
统计分析
一级结束点变量为生长速度、最终成年身高SDS,最终身高损失和身高增加。使用t检验比较治疗组和未治疗组之间一级结束点变量平均原始数据和SDS。也使用配对t检验完成治疗组内不同时间点的比较,即基线成年身高预测与最终身高的比较,以及基线身高损失与最终身高损失的比较。使用Pearson相关系数度量连续变量之间的关系。如果P < 0.05为具统计学显著性。
结果
基线特征
治疗组和未治疗组之间的平均基线特征相似(表1),男、女性比例相似,进入研究时的平均年龄为9.67岁(范围6.3–13.7岁)。每组有9名典型和5名非典型病人,BA显著提前于生活年龄(平均提前2.8岁)。

两组生活年龄的平均身高SDS在平均数以上(治疗组0.73±1.3;未治疗组0.64±1.0, P = NS);但平均骨龄身高SDS却低于平均数(治疗组–1.6±0.8;未治疗组–1.5±1.3, P = NS)。与靶身高SDS比较,两组预测的成年身高SDS同样较低(–1.5±0.9;未治疗组–1.4±1.1, P = NS),两组靶身高SDS相同(治疗组0.01±0.8;未治疗组–0.06±0.8, P = NS)。
肾上腺激素控制
在治疗期间,两组控制良好、较好、较差受试者例数相似。治疗组7名良好、5名较好、2名较差;未治疗组5名良好、7名较好、2名较差。在治疗组,肾上腺控制好坏的最终身高SDS (良好,–0.21+0.7;较好,–0.68+0.5;较差,–0.37+2.0, P = NS)或身高SDS增加(良好, 1.3+0.7;较好,1.0+0.8;较差,0.7+0.7, P = NS)无差异。
GH和LHRHa治疗持续时间
开始GH治疗平均年龄为9.67±2.00,完成GH治疗的平均年龄为14.1±1.71,平均持续时间4.4±1.5年(范围2.6-7.9年)。GH治疗持续时间与身高增加之间无显著性相关。但开始GH治疗年龄与身高增加之间显著负相关(r = –0.55, P = 0.02)。
开始LHRHa治疗平均年龄为9.47±2.0,完成治疗时平均年龄为13.63±1.2岁,平均治疗持续时间4.2±2.0年。身高增加与LHRHa治疗持续时间或开始治疗年龄之间无显著性相关。在14名受试者中,8名在GH前开始LHRHa治疗,其中4名由于在研究前诊断为中枢性性早熟,在GH前至少1年(范围1-3.93年)开始LHRHa治疗;其余4名受试者在GH治疗前不足1年(范围,0.25-0.55年)开始LHRHa治疗。这些受试者在GH前不久开始LHRHa治疗是由于提前使用了药物,但是在GH前应用LHRHa的时间不足产生显著影响,其效果很类似于同时开始GH和LHRHa治疗的受试者。在GH之前接受LHRHa至少1年的4名受试者与其余10名受试者之间的基线身高损失、开始BA、最终身高SDS或身高SDS增加无统计学差异(表2)。

青春期开始
治疗组14名受试者中,5名有中枢性性早熟,而在未治疗组的14名受试者中仅有1名。但两组受试者青春期开始仍然类似,大部分受试者(两组中各10名)青春期开始较早(女孩在10岁前,男孩在11岁前)。两组受试者青春期开始平均年龄无统计学差异(治疗组9.15±2.1岁;未治疗组9.94±1.3岁, P = 0.13)。
生长速度和骨成熟
在治疗的1-4年中,治疗组生长速度显著高于未治疗组(图1)。在GH治疗的第5年生长速度差异无统计学显著性;但在第5年中仅有4名受试者接受了GH的治疗。实际上,未治疗组基线生长速度显著高于治疗组(未治疗组, 6.5±1.3 cm/yr;治疗组, 5.1±1.7 cm/yr, P < 0.05),很可能反映了治疗组中的4名受试者在进入研究前已经接受了至少1年的LHRHa治疗。当以前LHRHa治疗的4名受试者及其配对者被排除基线分析后,基线生长速度组间差异无显著性(未治疗组, 6.7±1.5 cm/yr;治疗组, 5.4±1.7 cm/yr, P = NS)。
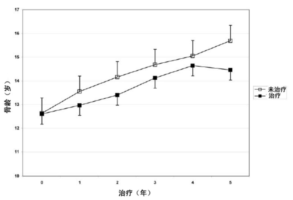
在0-5年治疗中,两组间的BA无显著性差异(图2)。

图1. 0-5年研究中治疗组和未治疗组受试者的生长速度.

图2. 0-5年治疗中的BA((P = NS).
最终成年身高
治疗组最终身高SDS较基线预测的身高SDS显著改善(–0.4±0.8与–1.5±0.9, P < 0.0001)。治疗组平均最终身高SDS(–0.4±0.8)也显著高于(P = 0.01)未治疗组(–1.4±1)(图3)。治疗组平均最终身高为男171.5±6.1cm(未治疗组163.1±5.6 cm),女163.6±3.4cm(未治疗组158.4±8.4 cm)。

图3. 对照组与治疗组的预测与最终身高SDS.
(治疗组最终身高SDS显著高于基线的预测身高,P < 0.0001;治疗组最终身高SDS也显著高于对照组最终身高SDS,P < 0.01)
治疗组最终身高损失较基线身高损失显著减小(–2.8±4.3 cm与–10.3±4.4cm, P < 0.0001);最终身高损失(–2.8±4.3cm)也显著少于(P < 0.01)未治疗组的身高损失(–9.6±8.8 cm)(图4)。治疗组身高增加显著大于未治疗组(7.4±4.9cm 与–0.5 ±6.6 cm, P = 0.001)(表3)。治疗组平均身高增加男6.46±5.4cm、女8.75±4.3cm(P = NS)。

图4. 未治疗组和治疗组治疗前后的身高损失.
(治疗组基线身高损失较未治疗组显著减少,P < 0.0001;治疗组最终身高损失较未治疗组显著减少,P < 0.01)

典型和非典型的病人
在治疗组中,典型和非典型病人的基线预测身高SDS、基线身高损失、初始BA、最终身高或身高SDS增加无统计学显著性差异(表4)

不利事件
治疗组所有受试者的IGF-I和IGFBP-3水平未超出依骨龄的正常范围。治疗组受试者血红蛋白A1c和甲状腺功能保持正常。接受GH治疗的病人未出现诸如糖尿病、恶性肿瘤、股骨骺滑脱和假脑瘤不利事件。大部分接受LHRHa治疗的病人报告注射部位有一定程度的不适,但均未报告重大不利事件,例如无菌性脓肿或感染。所有参加研究者都坚持到了研究完成。通过每次随访与受试者及其父母访谈调查监督顺从性,另外对接受GH的受试者通过回收空瓶来监督。90%以上的受试者报告有顺从性。
讨论
自从1950年以来,糖皮质素治疗一直是CAH的基本疗法。但糖皮质激素抑制生长的作用以及CAH引起的高雄性激素水平限制了受累儿童的身高潜力。虽然他们常常表现为高个儿童,但大部分CAH病人过早结束生长,最终成为矮身高成年人。历史上,GH曾经有效地改善长期接受糖皮质激素治疗儿童的生长速度。GH也与LHRHa联合使用来改善中枢性性早熟儿童的最终身高。本研究首次证实,GH和LHRHa联合治疗显著改善CAH儿童最终成年身高。
GH和LHRHa联合治疗是针对引起CAH儿童矮身高的的各种问题。LHRHa抑制中枢性青春期,防止骨骺发育的快速进展,而GH治疗则是遏制LHRHa和糖皮质激素治疗的特定不足-生长速度的减速。如本研究所证实,在治疗过程中的前4年中治疗组的生长速度显著大于未治疗组。当分析包括GH之前接受LHRHa治疗至少1年的4名受试者时,对照组基线生长速度显著大于治疗组。这种差异可能归因于LHRHa治疗普遍可见的生长速度的减速,因为当这4名受试者及其配对的对照组受试者被排除后,这种差异消失。在治疗的第5年生长速度仍然在增长,但由于仍然接受GH治疗的病人很少而无统计学显著性。GH对这些受试者生长速度的影响在一定程度上可能也由于典型CAH高水平的肾上腺雄性激素,与GH相互作用引起生长的加速。
治疗后身高平均增加7.3cm(范围0-16.3cm)。仅有1名受试者的治疗无作用,因为他的最终成年身高等于初始的预测身高。虽然这名特殊受试者身高未增加,但至少也未受到损失。相反,在15名未治疗的受试者中,有6名的最终成年身高低于基线预测的成年身高,1名病人的身高损失达到15.1cm。
尽管身高结果有显著改善,但治疗组平均最终身高仍然比父母身高中值的靶身高低3cm。一种解释可能为所有受试者肾上腺的控制不理想。事实上,仅一少半(15名受试者中的7名)为控制良好。然而,奇怪的是未发现肾上腺控制作用于最终身高或身高增加程度的证据。另一方面,也可能存在17-OPH水平反映的肾上腺控制与最终引起BA增长的雄性激素水平之间不完全的相关。也可能较早开始GH治疗对最终身高结果有更大影响,如GH开始治疗年龄与身高增加之间显著负相关所提示。
疾病的严重性(典型和非典型)似乎不是影响治疗反应的因素。两组的基线特征、身高增加或最终身高无显著性差异。尽管病情较轻,在开始治疗时非典型病人也有类似于典型病人的身高预测损失,可能是由于仅更严重受累的非典型病人首先符合研究包括标准。此外,非典型病人一般不是在新生儿期鉴别出来,因此未获益于由出生至典型病人期间的糖皮质激素替代治疗。非典型病人的治疗耽搁可能解释了他们具有与典型病人类似的BA提前和身高预测损失的风险。
因为本研究的主要治疗目的是减少基线时表现的身高损失,所以选择停止LHRHa治疗时间的目的在于通过延迟骨骺融合而最大化受益于GH。在不再有身高损失时(预测的身高等于靶身高)停止LHRHa治疗,假定他们在社会认可年龄时进入青春期并已有心理准备。虽然某些人可能认为,无正当理由延长青春期发育,并可能存在潜在的心理损害。但在这特定人群中大部分受试者(14名中的10名受试者)早已出现中枢性性早熟,所有受试者均有提前的BA,平均治疗持续时间仅为4.2年, 停止LHRHa治疗的平均年龄为13.63岁,在青春期开始的正常年龄范围之内。
本研究的特别之处在于,相同研究者使用其它方面相同的治疗方案追踪治疗和非治疗受试者。而且受试者的许多参数指标完全匹配,这样做是希望能将影响结果的混淆因素最小化。与我们以前发表的生长速度和预测身高改善结果报告一样,因为大部分病人同意接受本研究的治疗,所以比较组的大部分受试者由历史病人组成。虽然历史病人和治疗病人之间可能存在尚未了解的差异而可能影响研究结果,但两组受试者由相同医生以同样的糖皮质激素/盐皮质激素方案治疗,而且在许多参数完全匹配。另外,未治疗组有3名拒绝参加研究的病人,可能存在一定程度的影响本文结果的选择偏差。不管治疗组和未治疗组之间可能存在的差异如何,但更重要的是本研究证明了治疗组内基线预测身高和最终结果之间的显著改善。
本研究结果说明,GH联合LHRHa是改善CAH成年身高的有效治疗。本文有前途的研究结果为其它可能的治疗策略铺平了道路,因为对CAH病人生长和最终身高发生作用的许多因素仍未完全阐明。结果的可变性强调了继续研究改善CAH病人身高最佳治疗方法的重要性。
【金骨龄】专业骨龄及生长发育研究机构,中国骨龄行业标准制定者张绍岩教授任首席科学家,致力于提供适合中国当代少年儿童的骨龄评价技术和生长发育评价服务,独立研发了适用于医疗、体育、司法及母婴行业的骨龄软件 !
【热门文章推荐】