前言:
早已经了解,中枢神经系统影响下丘脑而控制青春期。青春期是下丘脑促性腺激素释放激素(gonadotropin-releasing hormone, GnRH)短暂释放上调的结果,GnRH刺激垂体释放促性腺激素(LH,FSH),进而刺激性腺功能。该综述引用了最近关于男孩下丘脑-垂体-性腺轴(hypothalamic–pituitary–gonadal, HPG)由胎儿期至青春期分化的证据,以及青春期中男性激素和其它与生长和成熟相关因子的生理学动态特性。
婴儿期
已知胎儿脉冲式释放GnRH,在头三个月结束时HPG轴具有功能性,最近的相关资料研究了胎儿期、新生儿期和儿童期发育过程中的促性腺激素水平。
最近的注意力集中在不最适宜的子宫内环境对垂体性腺轴发育的影响。小于孕龄儿出生(SGA)的男孩隐睾症 、尿道下裂、生育力下降和睾丸癌的风险增加。最近的一项研究证明,小于孕龄儿和适于孕龄儿出生的男孩之间促性腺激素分泌方式、基础激素水平、睾丸大小或形态无差异,但后来对SGA出生的成年人的研究证明,雌二醇、抑制素B和双氢睾酮(DHT)较对照组增加,促进了不利子宫内环境可能引起类固醇合成的永久缺陷的推断。
新生儿
对新生儿期促性腺激素分泌正常方式和性腺激素分泌的进一步了解,为外生殖器不明了和促性腺激素不足性腺机能减退婴儿的适当评价与治疗提供了资料。
关于极端早熟婴儿促性腺激素水平的资料为解释该人群促性腺激素水平提供了适当的基础。在孕龄不足30周的婴儿中,男孩LH和特别是FSH的范围比女孩窄很多,证实了女孩由胎儿期开始FSH水平的平均数和中位数就高于男孩。在男孩中,LH/FSH比例范围在0.3-9.4,而女孩的比例数值低0.5。这种差异与在较大年龄上所看到的性别差异一致。
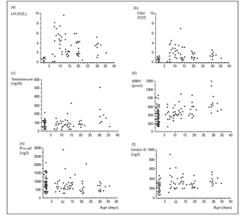
在正常男性婴儿,已经很清楚地描述了构成婴儿“小青春期”的早期促性腺激素分泌方式和睾酮水平。低水平的脐带血浆LH和FSH是高水平的循环雌性激素抑制下丘脑和垂体的结果。在生命的头两周内,LH和FSH升高而睾酮水平增长,在生命的10天左右LH和FSH达到高峰,因此在2天后比例大于1.5,比女孩大许多。同样,在这两周内抑制素B和抗穆勒激素(anti-Mullerian hormone, AMH)也升高,在生命的第1个月后AMH水平继续增长,图1。这些激素水平的评价为确定睾丸组织的功能状态、评估下丘脑-垂体-睾丸(HPT)轴,诊断婴儿期促性腺激素分泌不足提供了可能性。


图1. 男孩下丘脑-垂体-睾丸轴活动的激素水平
(在2天年龄时对每名男孩取样,其后为7-35天年龄的样本。 AMH, 抗穆勒激素; FSH,促卵泡激素; LH, 黄体生成素)
虽然新生儿HPT活动的意义尚不清楚,但这种激素水平的暴露可能进一步增强睾丸的功能,特别是精子的生成,可能也贡献于与认知、性别和性有关的脑的雄性化。无婴儿的“小青春期”的先天性促性腺激素不足性腺机能减退的男子,在长期rhFSH刺激后抑制素B的升高不如其它促性腺激素不足性腺机能减退男子,提示了缺乏新生儿HPT轴活动的另外的后果。将来的睾丸功能可能依赖于LH、FSH、睾酮、抑制素B和AMH分泌所导致的生殖细胞、间质细胞、支持细胞的分化时相。在这个时期,可以看到正常男孩睾丸的明显生长,而不是阴茎生长。这样的生长可能是促性腺激素刺激的反应,而这个发育时相中睾酮无反应可能是雄性激素相对不敏感的表现。
在两名男性促性腺激素不足性腺机能减退、小阴茎、小睾丸的新生儿连续皮下注射LH和FSH,刺激了睾酮、抑制素B和AMH的升高和睾丸与阴茎的生长,与间质细胞和支持细胞的激活和睾丸与阴茎出现一定程度的赶上生长相一致。在较大年龄上,这样的处理是否增强治疗反应尚不清楚。
DHT是在雄性激素敏感的组织(包括阴茎皮肤)中由睾酮转换而来,可以使用DHT:T比例评价GHT的适宜水平。目前在男性生命期间所检测的比例中,发现婴儿期最高,然后在青春期逐渐下降,由20岁至老年中的变化很小。可使用婴儿期的正常比例来确定正常的T向DHT的转换。
儿童期
在正常范围内,儿童期的相对成熟程度与后来的青春期发身发育成比例,因而在儿童期成熟的早,青春期也早。一般以骨龄来反映这样的成熟状况。在3-9岁身高生长逐渐减少男孩的成年身高达不到根据身高遗传潜力所预期的范围,其中的部分男孩称为体质性生长和青春期延迟(constitutional delay of growth and puberty, CDGP)。这样的男孩矮于无身高生长逐渐减少的CDGP。在青春期开始前的睾酮治疗似乎并不能够影响这两类病人的成年身高。
青春期
许多激素和其它因素,例如肥胖,影响青春期发育。这些激素水平提供了关于确证青春期或异常青春期诊断的信息。
促性腺激素
区分青春期前和青春期的标准是对GnRH刺激试验所出现促性腺激素反应,特别是是LH。因为来自早期放射免疫测定的资料显示,青春期前和青春期个体之间的LH和FSH水平有相当大的重叠,所以必须进行刺激试验。目前已提出了新的测定方法,改善了灵敏性,减小了重叠。如果没有重叠,那么仅应用非刺激的水平就能够区分青春期前和青春期。最近的报告发现,使用商用免疫化学发光法测定药盒,青春期前和青春期LH水平无重叠。
青春期前男孩的95th百分位数为0.3IU/L,青春期男孩的5th百分位数为0.4IU/L。这就提示,在大部分男孩,单一LH样本就可适当地诊断青春期。在这两组之间FSH有相当大的重叠,但是男孩青春期和青春期前之间的FSH差值较小,因此使用FSH基础水平或GnRH刺激后的水平诊断青春期的价值不大。
胰岛素样因子3
男性间质细胞生成的一种主要循环激素是胰岛素样因子3(insulin-like factor 3,INSL3),它是松弛素-胰岛素族的一个成员,以前称之为松弛素样因子(relaxin-like factor)。据报告,男性青春期中INSL3水平逐渐增加,与逐渐升高的LH相关,提示INSL3可能是LH影响间质细胞分化和功能的标志。因此,INSL3水平可能是克兰费尔特综合征(Klinefelter syndrome,先天性睾丸发育不全)睾丸异常的指证。在一项研究中,Klinefelter综合症男孩儿童期和青春期初期的水平与正常男孩相似,但是在青春期中期稳定下来,而正常男孩继续增长。
抗穆勒激素
AMH由青春期前睾丸的支持细胞分泌,在青春期开始时水平下降。如果在新生儿期和青春期睾酮生成有缺陷,呈现高AMH水平。一项研究通过对先天性促性腺激素不足性腺机能减退男孩以rhFSH处理,报告了FSH的作用。在FSH刺激后AMH和抑制素B均增长,但是,当同时给以FSH和hCG时,AMH水平下降而抑制素B水平下降不显著。这种现象与儿童期FSH刺激的AMH表现一致,在儿童期睾酮的hCG(LH-样)刺激对AMH有抑制作用,而对抑制素B的抑制程度较小。这些相互作用与儿童期和青春期的激素特征相一致,并有助于对这些激素的解释。
瘦素
瘦素在正常青春期中的确切作用尚未完全确定。有报告曾经在6个月中使用尿瘦素作为无损伤监测方法,研究青春期前和青春期开始前后的儿童,来确定瘦素与促性腺激素的关系。发现瘦素无清晰的波动,也未发现瘦素对启动青春期开始发挥作用的证据。瘦素与两组儿童的FSH显著相关,但与LH无相关。
促性腺激素缺乏
为寻找区分青春期延迟男孩(体质性延迟与促性腺激素缺乏引起延迟的区分)的试验方法所做的努力在很大程度上是失败的,因此,一般必需一定的时间来观察最终是正常还是缺乏促性腺激素的分泌。最近,使用GnRH(布舍瑞林)刺激试验发现,所有促性腺激素不足性腺机能减退男孩的LH水平低,然而最终PHG轴正常的大部分男孩有较高的反应。因此,如果使用有明确范围的LH测定方法,这样的4小时的实验在青春期延迟男孩有高度的特异性。FSH的反应不具鉴别力。
对性腺机能减退男孩促性腺激素的青春期诱发
在促性腺激素不足性腺机能减退男孩,开始以rhFSH,后用hCG诱发青春期是成功的。仅应用FSH的刺激增加了睾丸体积,抑制素水平升高,联合治疗可见进一步的增长。在提供精液样本的7名病人中,有6名证实了精子生成。这些结果提示,FSH刺激了支持细胞的复制,而抑制素B水平似乎可用于监测精子发生的活动。
肥胖和青春期生长
遗传和环境对青春期的影响一直是人们所感兴趣的问题。检验儿童期BMI与青春期生长突增时间和成年身高关系的双生子研究表明,青春期生长突增开始年龄的遗传力为0.91、身高速度高峰年龄为0.93、成年身高为0.97。这就提示,青春期的生长受到遗传的高度调节。
肥胖和青春期开始之间的相互关系尚不清楚。在上述提到的双生子研究中,儿童期BMI与生长突增开始和成年身高负相关。在另外一项评价肥胖和非肥胖青春期前男孩的研究,提供了青春期较早的证据,肥胖男孩睾丸体积增大,抑制素B、脱氢表雄酮(DHEA)、DHEA硫酸盐和骨龄增加。两组间的LH、FSH和睾酮水平无差异,抑制素B水平与睾丸体积和骨龄相关。GnRH刺激后的FSH峰值与抑制素B水平负相关。肥胖男孩抑制素B/FSH轴的激活可能是青春期早期的激素变化。
库欣氏疾病对青春期的影响
在男孩青春期中,有异常肾上腺雄性激素分泌的库欣氏疾病可能与肾上腺疾病诊断的耽搁有关,贡献于HPG轴激活的减弱,以缺乏正常的青春期发育次序为特征,其表现为雄烯二酮的升高、低性激素结合蛋白(SHBG)和低水平的LH与FSH。
青春期年龄
尚不清楚目前男孩青春期的开始和进展是否早于几十年前。而且,即使青春期的身体变化开始较早,也尚无青春期结束较早的证据。一专家小组发现,目前估价长期趋势的男孩资料尚不充分。
结论
关于青春期开始机制、开始年龄、或青春期身体与激素的变化,最近增加的证据很少。资料显示,作为LH和FSH共同影响的结果,AMH水平下降,INSL3水平逐渐升高,仅由非刺激的LH水平可证实青春期。关于男性HPT轴的生命早期资料提示了“婴儿小青春期”中抑制素B水平的意义,获得性促性腺激素不足性腺机能减退成年男子对于FSH刺激,比无新生儿HPT轴活动的先天性促性腺激素不足性腺机能减退者更迅速地出现抑制素B水平的反应。此外,胎儿生长受限可能导致成年男子类固醇生成的损害。要增强对男性青春期的了解,尚需进一步的临床和分子遗传学研究。
【金骨龄】专业骨龄及生长发育研究机构,中国骨龄行业标准制定者张绍岩教授任首席科学家,致力于提供适合中国当代少年儿童的骨龄评价技术和生长发育评价服务,独立研发了适用于医疗、体育、司法及母婴行业的骨龄软件 !
热门文章推荐