[摘要] 目的:为儿科临床应用掌指骨模式分析,提出中国五城市儿童手部掌指骨长度正常参考值。方法:样本为广州市、上海市、温州市、大连市、石家庄市3259名2~19岁的中国汉族城市儿童。在受试者出生日拍摄左手腕部 X 线片,以游标卡尺测量19块掌指骨纵轴长度。结果 分性别计算了各年龄组掌指骨长度的平均数和标准差。男女儿童掌指骨长度的生长与骨发育和性发育的规律相一致,在13岁前,女童掌指骨长度生长提前于男童,此后男童掌指骨长度继续生长而长于女童。男性成年时的掌指骨长度大于女性的程度由近侧至远侧而逐渐加大。男女儿童中节指骨5、中节指骨2和近节指骨1的长度相对变异较大,而掌骨2、掌骨3、近节指骨3、近节指骨4相对变异较小。结论:中国五城市儿童掌指骨长度值为传学和内分泌学临床应用掌指骨模式特征分析提供了参考.
[关键词]中国儿童 掌指骨长度 掌指骨模式特征
[中图分类号] R179 [文献标识码] A [文章编号] 1681 - 5459( 2009) 01 - 0001 - 06
很多染色体异常、遗传性疾病或内分泌疾病都引起手部掌指骨长度发生改变。1972年Poznanski et al.[1] 提出了掌指骨模式特征(Metacarpophalangeal pattern profiles,MCPP)分析方法,以图示描述手部所有掌指骨相对的延长、缩短以及相互之间的关系。同时,Garn et al.[2]也报告了用于模式特征分析的正常美国白人儿童掌指骨长度标准。此后,发现了许多骨发育异常、先天性畸形综合征等的MCPP[3]。最近,又相继报告了Leri-Weill 软骨骨生成障碍[4]、Noonan 综合症[5]的MCPP。研究表明,MCPP是鉴别软骨骨生成障碍、特纳综合症和软骨发育不良有价值的诊断手段[6]。
虽然不同人群MCPP之间表现出高度相关,但也发现了某些掌指骨长度的种族差异,因而应使用特定地域人群的掌指骨长度标准分析MCPP[7,8]。然而,目前尚无中国儿童掌指骨长度正常参考值,许多临床工作者只能凭借视觉来识别极端的骨长度变化,限制了 MCPP 在临床中的应用。
因此,本文目的为制订中国五城市儿童掌指骨长度正常值,为临床遗传学和内分泌学应用MCPP 分析提供参考。
1、对象与方法
1.1 对象
研究样本来自《中国人手腕骨发育标准-中华05》[9]中的上海市、广州市、温州市、石家庄市、大连市城市汉族正常儿童,在2-19岁各年龄组随机抽取 100例,共计3259名(男1667名,女1592名)表1。分别在2~3岁和4~19岁受试者出生日前后7日和15日内,以80cm的焦-片距,拍摄左手腕部后前位X线片(X线管的焦点正对第3掌骨头,第3指与前臂轴成直线)。
1.2 方法
使用游标卡尺(测量精度为0.02mm)在 X线片上直接测量19块管状骨(掌指骨)的纵轴长度。所有的测量为骨全长(包括骨骺),因成年第三掌骨茎突 X 线影像有时难以分辨而测量至掌骨底[2]。
通过重复测量20名不同年龄儿童的手腕部掌指骨长度,检验测量的可靠性。19块骨重复测量差值为0.001±0.12mm。
1.3 统计学方法
计算男女各年龄组手部19块掌指骨长度的平均数和标准差,各年龄组掌指骨长度的变异系数(CV)=(标准差/平均数)×100

2 结果
2.1 掌指骨长度
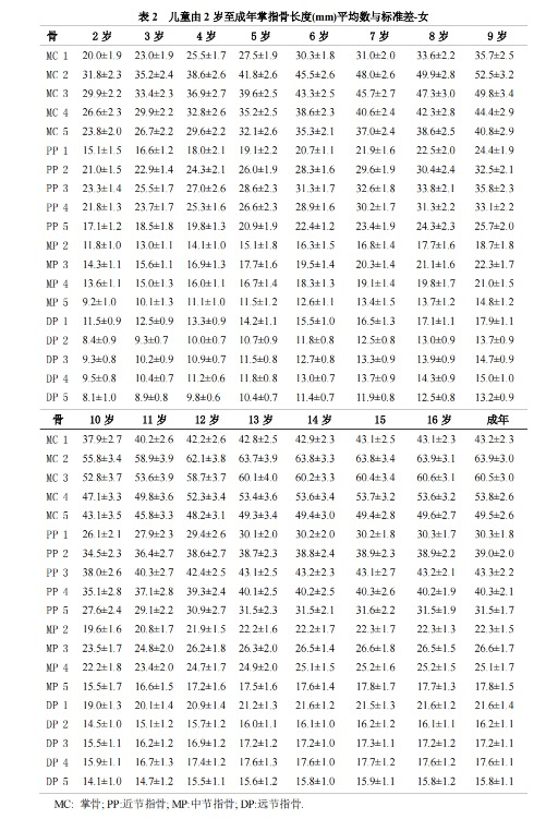
男女各年龄组手部掌指骨长度的平均数和标准差见表2、表3。女性掌指骨停止生长较早(约13岁),男子较晚(约15岁)。男女儿童掌指骨长度的生长与骨发育成熟和性发育的规律相一致,在13岁前,女儿童掌指骨长度生长提前于男儿童,此后男儿童掌指骨长度继续生长而长于女性。男儿童成年时的掌指骨长度大于女性的程度由近侧至远侧而逐渐加大。


在远、中、近节指骨和掌骨各排内,骨的相对长短具有一定次序,表 4。在远节指骨排中第1指远节指骨最长,第5远节指骨最短;中节指骨排中,中节指骨3最长;近节指骨排中,近节指骨3最长;在掌骨排中,第2掌骨最长,第5掌骨最短。表4可以单独使用或结合长度参考值使用,迅速估价手部异常或综合征的相对骨节长度。
由表2、表3也可见,掌指骨长度增长幅度与掌骨长度成比例,即长度较长的掌骨和近节指骨长度随年龄而增长的幅度较大,而长度较短的中节指骨和远节指骨长度增长的幅度较小,因而在生长过程中不同掌指骨之间的长度比例基本保持不变。
2.2 掌指骨长度的变异
儿童掌指骨长度的变异不尽相同,按变异系数大小排序,男女儿童中节指骨5、中节指骨2和近节指骨1的相对变异程度较大,而掌骨2、掌骨3、近节指骨3、近节指骨4相对变异较小(表5);各排骨之间相比,变异系数的大小排列为远节指骨,中节指骨,近节指骨,掌骨;如果在各排骨内排序,第5手指各块骨的相对变异程度较大(但男性掌骨排中掌骨1变异较大)。

3 讨论
在MCPP分析中,首先要将测量的掌指骨长度数值转换成Z分值(SDS)。然后在纵坐标为Z分值,横坐标为掌指骨的图示中标出各Z分值的位置。因为在很多情况下,掌指骨以排的方式发生变化,所以横坐标以排的顺序列出。在临床实践中,使用该种简单的图式方法能够观察到许多异常的掌指骨长度在数量和方向上的变化,例如图1。由于绘图时使用了Z分值而不是实际的测量数值,所以在同一图中还可以比较不同性别、不同年龄患儿的MCPP。此外,还可使用判别分析方法综合分析病人19块骨的Z分值,得出判别函数,为某些疾病的早期诊断提供辅助手段[6, 10]。对于骨发育明显提前和延迟的儿童,可以使用骨龄代替生活年龄分析MCPP[1]。
生长发育的长期趋势似乎对MCPP的影响不大,因此欧美国家的许多研究文献仍然在使用Garn et al.[2]在1972年所提出的欧洲后裔美国人标准。
在正常儿童,遗传可能是影响掌指骨长度及其相互比例关系主要因素[7,8,11]。与美国白人[2]相比,中国五城市汉族儿童MCPP有明显的不同,这些差异的主要趋势为掌指骨长度均不同程度的短于美国白人儿童。但在青春期某些掌指骨长度显著较长,则可能与中国儿童青春期骨发育显著提前于欧美儿童的发育特征有关[12]。

参考文献
1 Poznanski AK, Garn SM, Nagy JM, et al.Metacarpophalangeal pattern profiles in the evaluation of skeletal malformations. Radiology, 1972, 104:1-11.
2 Garn SM, Hertzog KP, Poznanki AK, et al. Metacarpophalangeal length in the evaluating of skeletal malformation. Radiology, 1972, 105:375-381.
3 Poznanski AK, Gartman S. A bibliography covering the use of metacarpophalangeal pattern profile analysis in bone dysplasias, congenital malformation syndromes, and other disorders. Pediatr Radiol, 1997, 27:358-365.
4 Laurencikas E, Soderman E, Grigelioniene G, et al. Metacarpophalangeal Pattern Profile Analysis in Leri-Weill Dyschondrostrosis. Acta Radiol, 2005, 46:200-207.
5 Butler MG, Kumar R, Davis MF, et al. Metacarpophalangeal Pattern Profile Analysis in Noonan Syndrome. Am J Med Genet, 2000, 92:128-131.
6 Laurencikas E, Savendahl L, Jorulf H. Metacarpophalangeal Pattern Profile Analysis: Useful Diagnostic Tool for Differentiating betweenDyschondrosteosis, Tuner Syndrome, and Hypochondroplasia. Acta Radiol, 2006, 47:518-524.
7 Laurencikas E. and Rosenborg M, Swedishmetacappophalangal standards compared with previous published norms. Acta Radiol, 2000, 41: 498–502.
8 Lewis S. Metacarpophalangeal pattern profile analysis of a sample drawn from a North Wales population. Ann Hum Biol, 2001, 28: 589-593.
9 张绍岩,刘丽娟,吴真列,等. 中国人手腕骨发育标准—中华 05 I.TW3-C RUS、TW3-C 腕骨和 RUS-CHN 方法. 中国运动医学杂志, 2006, 25 (5): 509-516.
10 Laurencikas E, Soderman E, Davenport M, et al. Metacarpophalangeal Pattern Profile Analysis as a tool for Early Diagnosis of Turner syndrome. Acta Radiol, 2005, 46: 424-430.
11 Odita JC, Okolo AA, Ukoli F. Normal values for metacarpal and phalangeal lengths in Nigerian children. Skeletal Radiol, 1991, 20:441-445.
12 ZHANG Shao-yan, LIU Li-juan, LIU Gang et al. Standards of TW3 skeletal maturity for Chinese children. Ann Hum Biol, 2008, 35: 349-354.